有两种理想气体,第一种的压强记作p1,体积记作V1,温度记作T1,总质量记作m1 , 摩尔质量记作M1;第二种的压强记作p2,体积记作V2,温度记作T2,...

作者: tihaiku 人气: - 评论: 0
问题 有两种理想气体,第一种的压强记作p1,体积记作V1,温度记作T1,总质量记作m1 , 摩尔质量记作M1;第二种的压强记作p2,体积记作V2,温度记作T2,总质量记作m2,摩尔质量记作M2。当V1=V2,T1=T2,m1=m2时,则M1/M2为( )。
选项
答案 D
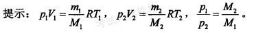
解析

相关内容:理想,气体,压强,体积,温度,质量,摩尔

猜你喜欢

发表评论
更多 网友评论0 条评论)
暂无评论
错误啦!

错误信息

  • 消息: [程序异常] : MISCONF Redis is configured to save RDB snapshots, but it's currently unable to persist to disk. Commands that may modify the data set are disabled, because this instance is configured to report errors during writes if RDB snapshotting fails (stop-writes-on-bgsave-error option). Please check the Redis logs for details about the RDB error.
  • 文件: /twcms/kongphp/cache/cache_redis.class.php
  • 位置: 第 85 行
    <?php echo 'KongPHP, Road to Jane.'; ?>