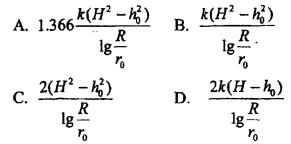
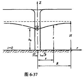
图6-37中,普通潜水井(完全井),半径为r0影响区半径为R,未受影区水位为H, 水井内水位h0,土壤渗流系数为k,该单井流量为( )。
相关内容:水井,完全井,半径,影响区,影区,水位,土壤,系数,该单井,流量
- 均质圆环的质量为半径为圆环绕O轴的摆动规律为φ=ωt,ω为常数。图 4-74所示瞬时圆环对转轴O的动量矩为( )。
A. mR2ω
B. 2mR2ω
...
- 已知幂级数的收敛半径R=1,则幂级数的收敛域为( )。A. (-1,1]
B. [-1,1]
C. [-1,1)
D.(-∞,+∞)
- 已知,则f(x)在(0,π)内的正级数的和函数s(x)在x=π/2处的值及系数b3分别为( )。
- 空气的黏滞系数与水的黏滞系数μ分别随温度降低而( )。A.降低、升高
B.降低、降低
C.升高、降低
D.升高、升高
- 图4-49所示机构中,曲柄OA以匀角速度绕O轴转动,滚轮B沿水平面作纯滚动,如图4-48所示。己知OA=l, AB=2l,滚轮半径为r。在图示位置时,OA...
- 在无压圆管均匀流中,其他条件保持不变有( )。A.流量随设计充满度增大而增大
B.流速随设计充满度增大而增大
C.流量随水力坡度增大而增大
D.三种...
- 进行大坝溢流模型实验,几何比尺λ1= 100 ,原型流量100m3/s,模型流量为( )L/s。A. 100
B. 10
C. 1
D. 0.1
- 光滑铜管内径d=10mm,平均流速1m/s,流体的运动黏性系数为1x10-6m2/s,则 其沿程损失系数是( )。A. 0.032
B. 0.042
...
- 速度v、直径d、动力黏滞系数μ、密度ρ组成的无量纲数可表达为( )。A. dv/ρμ
B. dμv/ρ
C. dvρ/μ
D. dμρ/v
- 均质圆环的质量为半径为圆环绕O轴的摆动规律为φ=ωt,ω为常数。图 4-74所示瞬时圆环对转轴O的动量矩为( )。
A. mR2ω
B. 2mR2ω
...