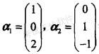
设A为矩阵,都是齐次线性方程组Ax=0的解,则矩阵A为( )。

作者: tihaiku 人气: - 评论: 0
问题 设A为矩阵,都是齐次线性方程组Ax=0的解,则矩阵A为( )。
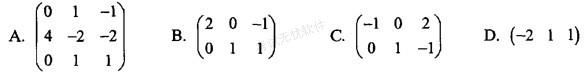
选项
答案 D
解析 提示:由于线性无关,故R(A)= 1,显然选项A中矩阵秩为3,选项B和C中矩阵秩都为2。

猜你喜欢

发表评论
更多 网友评论0 条评论)
暂无评论

Copyright © 2012-2014 恰考网 Inc. 保留所有权利。 Powered by tikuer.com

页面耗时0.0386秒, 内存占用1.04 MB, Cache:redis,访问数据库19次