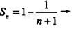
下列级数中,发散的级数是( )。
相关内容:级数
- 级数 ( )。A.当p>1/2时,绝对收敛 B.当p>1/2时,条件收敛
C.当0
- 级数的收敛性是( )。A.绝对收敛
B.条件收敛
C.等比级数收敛
D.发散
- 已知幂级数的收敛半径R=1,则幂级数的收敛域为( )。A. (-1,1]
B. [-1,1]
C. [-1,1)
D.(-∞,+∞)
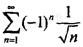
- 下列级数中,发散的级数是( )。
- 已知,则f(x)在(0,π)内的正级数的和函数s(x)在x=π/2处的值及系数b3分别为( )。
- 若,则幂级数 ( )。A.必在 x >3时发散
B.必在 x ≤3时发敛
C.在x=-3处的敛散性不定
D.其收敛半径为3
- 设幂级数的收敛半径为2,则幂级数的收敛区间是( )。A. (-2,2)
B. (-2,4)
C. (0,4)
D. (-4,0)
- 若级数收敛,则下列级数中不收敛的是( )。
- 已知幂级数的收敛半径R=1,则幂级数的收敛域为( )。A. (-1,1]
B. [-1,1]
C. [-1,1)
D.(-∞,+∞)
- 幂级数的收敛区间为( )。A. [-1,1]
B. (-1,1]
C. [-1,1)
D. (-1,1)