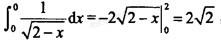
下列广义积分中收敛的是( )。
相关内容:广义,积分,收敛
- 设L是从A(1,0)到B(-1,2)的直线段,则曲线积分?L(x+y)ds=( )。
- 如图5-6所示结构中二杆的材料相同,横截面面积分别为A和2A,以下四种答案中该结构的许用载荷为()。
A. [F] = A[a]
B. [F] = 2...
- 设幂级数的收敛半径为2,则幂级数的收敛区间是( )。A. (-2,2)
B. (-2,4)
C. (0,4)
D. (-4,0)
- 如图5-6所示结构中二杆的材料相同,横截面面积分别为A和2A,以下四种答案中该结构的许用载荷为()。
A. [F] = A[a]
B. [F] = 2...
- 幂级数的收敛域为()。A. [-1,1)
B. [4,6)
C. [4,6]
D. (4,6]
- 级数的收敛性是( )。A.绝对收敛
B.条件收敛
C.等比级数收敛
D.发散
- 在一定条件下,已建立平衡的某可逆反应,当改变反应条件使化学平衡向正反应方向移动时,下列有关叙述肯定不正确的是( )。A.生成物的体积分数可能增加
B.生...
- 设幂级数的收敛半径为2,则幂级数的收敛区间是( )。A. (-2,2)
B. (-2,4)
C. (0,4)
D. (-4,0)
- 由曲面所围成的立体体积的三次积分为( )。
- 若级数收敛,则下列级数中不收敛的是( )。