A. I=J B. I = 2J C. I = 3J D. I = 4J

作者: tihaiku 人气: - 评论: 0
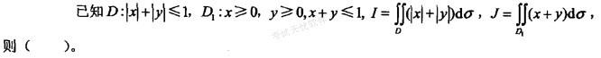
问题
选项 A. I=J B. I = 2J C. I = 3J D. I = 4J
答案 D
解析 提示:I中积分区域关于x轴和y轴都对称,被积函数关于x和y为偶函数,I=4J。

猜你喜欢

发表评论
更多 网友评论0 条评论)
暂无评论

Copyright © 2012-2014 恰考网 Inc. 保留所有权利。 Powered by tikuer.com

页面耗时0.0523秒, 内存占用1.04 MB, Cache:redis,访问数据库18次