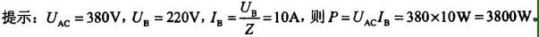
如图7-28所示三相对称三线制电路中,线电压为380V,且各负载Z=R=22Ω。此时功率表读数为()W。
A.3800
B.2200
C.0
D....
相关内容:如图,电路,电压,且各,负载,功率,读数,A.3800,B.2200
- 由开关组成的电路如图7-64所示,设开关合上为“1”,断开为“0”;电灯亮为“1”,灭为“0”。则该电路的逻辑关系是()。
A.HL=AB+C
B.H...
- 一台三相异步电动机,额定功率为P,效率为η,△联结,三相定子绕组相电压为U,相电流为I,功率因数为()。
- 两危险点的应力状态如图5-54所示,且由第四强度理论比较其危险程度, 正确答案是为( )。
A. (a)应力状态较危险
B. (b)应力状态较危险
...
- 共集电极放大电路如图7-56所示。已知:β=50,UBE=O.7V,当输入正弦电压有效值Ui=7.5mV,输出电压有效值U0最接近于()。
A.1.5V...
- 如图2-1所示,若在某个过程中,一定量的理想气体的内能E随压强p的变化关系为一直线(其延长线过E-p图的原点),则该过程为( )。
A.等温过程
B...
- 如图7-34所示电路中,换路前处于稳态,换路后iR(0)等于()A。
A.-1
B.-2
C.0.2
D.0
- 如图7-22所示正弦电流电路发生谐振时,电流表A1、A2的读数分别为4A和3A,则电流表A3的读数为下列何值?()
A.1A B.7A
C.5A ...
- 如图4-77所示三个质量、半径相同的圆盘A、B和C,放在光滑的水平面上;同样大小和同方向的力F分别作用于三个圆盘的不同点,则惯性力分别向各自质心简化的结果...
- 如图7-16所示电路中,US=10V,i=1mA,则()。
A.因为i2=0,使电流i1=1mA.因为参数
B未知,无法求出电流i
C.虽然电流...
- 如图7-11所示电路,U=12V、UE=10V、R=0.4kΩ,则电流I等于()A。
A.0.055
B.0.03
C.0.025
D.0.005