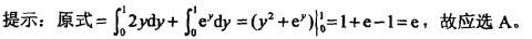
设L是曲线y=lnx上从点(1,0)到点(e,1)的一段弧,则曲线积分()。A. e B. e-1 C. e+1 D. 0

作者: tihaiku 人气: - 评论: 0
问题 设L是曲线y=lnx上从点(1,0)到点(e,1)的一段弧,则曲线积分()。
选项 A. e B. e-1 C. e+1 D. 0
答案 A
解析

猜你喜欢

发表评论
更多 网友评论0 条评论)
暂无评论

Copyright © 2012-2014 恰考网 Inc. 保留所有权利。 Powered by tikuer.com

页面耗时0.0790秒, 内存占用1.04 MB, Cache:redis,访问数据库20次