频率4Hz沿x轴正向传播的简谐波,波线上有两点a和b若它们开始振动的时间差为0.25s,则它们的相位差为( )。A.π/2 B. π C. 3π/2 ...

作者: tihaiku 人气: - 评论: 0
问题 频率4Hz沿x轴正向传播的简谐波,波线上有两点a和b若它们开始振动的时间差为0.25s,则它们的相位差为( )。
选项 A.π/2 B. π C. 3π/2 D. 2π
答案 D
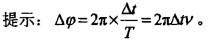
解析

相关内容:频率,传播,谐波,波线,振动,时间差,相位差

猜你喜欢

发表评论
更多 网友评论0 条评论)
暂无评论

Copyright © 2012-2014 恰考网 Inc. 保留所有权利。 Powered by tikuer.com

页面耗时0.0647秒, 内存占用1.04 MB, Cache:redis,访问数据库19次