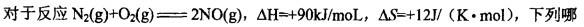
种情况是正确的?( )A.任何温度下均自发 B.任何温度下均非自发 C.低温下非自发,高温下自发 D.低温下自发,高温下非自发

作者: tihaiku 人气: - 评论: 0
问题 种情况是正确的?( )
选项 A.任何温度下均自发 B.任何温度下均非自发 C.低温下非自发,高温下自发 D.低温下自发,高温下非自发
答案 C
解析 提示:ΔH>0,ΔS>0, ΔG=ΔH-TΔS,低温下非自发,高温下自发。

相关内容:情况,温度,低温,下非,高温

猜你喜欢

发表评论
更多 网友评论0 条评论)
暂无评论

Copyright © 2012-2014 恰考网 Inc. 保留所有权利。 Powered by tikuer.com

页面耗时0.0425秒, 内存占用1.04 MB, Cache:redis,访问数据库19次