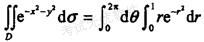
将 (其中D:x2+y2≤1)化为极坐标系下的二次积分,其形式为( )。

作者: tihaiku 人气: - 评论: 0
问题 (其中D:x2+y2≤1)化为极坐标系下的二次积分,其形式为( )。
选项
答案 D
解析 提示:

相关内容:坐标系,积分,形式

猜你喜欢

发表评论
更多 网友评论0 条评论)
暂无评论

Copyright © 2012-2014 恰考网 Inc. 保留所有权利。 Powered by tikuer.com

页面耗时0.0433秒, 内存占用1.03 MB, Cache:redis,访问数据库15次