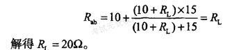
如图7-15所示电路中ab间的等效电阻与电阻RL相等,则RL为()Ω。
A.10
B.15
C.20
D.5√10
相关内容:如图,电路,电阻
- 如图5-68所示四根压杆的材料、截面均相同,它们在纸面内失稳的先后次序为( )。
A. (a), (b), (c), (d)
B. (d), (a),...
- 如图6-30所示,管路系统,各段管路阻抗分别是S、2S,其总流量是( )。
- 如图2-3所示,一定量的理想气体,沿着图中直线从状态a(压强p1=0.4MPa,体积V1=2L)变到状态b (压强p2=0.2MPa,体积V2=4L)。
...
- 如图6-28所示,淹没出流,A、B、C三孔的直径相同,则三者出流量的大小按下顺序排列( )。
A. ABC B. BAC C. CBA D.全相等
- 如图5-9所示等直杆,杆长为3a,材料的拉压刚度为EA,受力如图示。问杆中点横截面的铅垂位移为( )。
A.0 B.Fa/EA C.2Fa/EA D...
- 如图4-38所示,绳子的一端绕在滑轮上,另一端与置于水平面上的物块B相连,若物B的运动方程为x=kt2,其中k为常数,轮子半径为R,则轮缘上A点的加速度的...
- 如图6-15所示垂直下泄恒定流水管,出口流速v=6m/s,管径不变,上游断面1-1高于出口断面2-2,高差为4m,水头损失不计,则上断面1-1的压强水头为...
- 如图7-63所示,输出端F1的逻辑表达式为()。
- 单色平行光垂直照射在薄膜上,经上下两表面反射的两束光发生干涉,如图2-11所示。若薄膜的厚度为e,且n12>n3, λ1为入射光在n1中的波长,则两束反射...
- 如图5-65所示直杆,其材料相同,截面和长度相同,支承方式不同,在轴向压力作用下,哪个柔度最大,哪个柔度最小?( )
A.λa大、λc小
B. λb大...