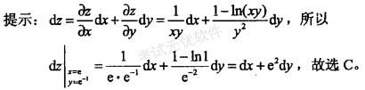
若函数z=ln(xy)/y,则当x=e,y=e-1时,全微分dz等于( )。A. edx + dy
B. e2dx-dy
C. dx + e2dy
...
相关内容:函数,则当,微分,e2dx-dy
- 微分方程y''-6y'+9y=0在初始条件下的特解为( )
- 设服从N(0,1)分布的随机变量X,其分布函数为Φ(x)。如果Φ(1)=0.84,则P{ X ≤1}的值是( )。A. 0.25
B. 0.68
C....
- 函数可去间断点的个数为( )。A. 1
B. 2
C. 3
D.无穷多个
- 参数方程确定了y是x的函数,且f,(t)存在,f(0) = 2, f,(0) = 2,则当t=0时,dy/dx的值等于( )。A. 4/3
B. -4/...
- 设函数,可导,则必有( )。A. a = 1,b = 2
B. a = -1,b = 2
C. a = 1,b = 0
D. a = -1,b = 0
- 微分方程y''+2y=0的通解是( )。
- 某种理想气体的总分子数为N,分子速率分布函数为f(v),则速率在v1~v2区间内的分子数是()。
- 设a3+3ax2+8为增函数。A. x0 D.x0
- 已知。r1=3,r2=-3是方程y+py+q=0 (p和q是常数)的特征方程的两个根, 则该微分方程是( )。A. y+9y=0= 0
B. y-9y=...
- 函数y=x3-6x上切线平行于x轴的点是( )。