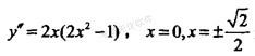
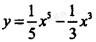
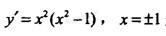
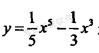
对于曲线,下列说法不正确的是( )。A.有3个极值点 B.有3个拐点 C.有2个极值点 D.对称原点

作者: tihaiku 人气: - 评论: 0
问题 对于曲线,下列说法不正确的是( )。
选项 A.有3个极值点 B.有3个拐点 C.有2个极值点 D.对称原点
答案 A
解析 提示:是极值点,是拐点的横坐标,故有3个拐点:函数是奇函数,曲线关于原点对称。

相关内容:曲线,说法,极值,拐点,原点

猜你喜欢

发表评论
更多 网友评论0 条评论)
暂无评论

Copyright © 2012-2014 恰考网 Inc. 保留所有权利。 Powered by tikuer.com

页面耗时0.0395秒, 内存占用1.05 MB, Cache:redis,访问数据库20次