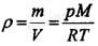
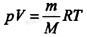
已知某理想气体的压强为p,体积为V,温度为T,气体的摩尔质量为M, k为玻耳兹曼常量,R为摩尔气体常量,则该理想气体的密度为( )。A. M/V
B. ...
相关内容:理想,气体,压强,体积,温度,摩尔,质量,玻耳,兹曼,常量,密度
- 如图4-70所示,常数为k的弹簧下挂一质量为m的物体,若物体从静平衡位置(设静伸长为δ)下降Δ距离,则弹性力所做的功为( )。
- 某点的真空压强为65 000Pa,当地大气压为0.1MPa,该点的绝对压强为( )Pa。A. 65 000
B. 55 000
C. 35 000
...
- 如图2-5所示,一定量的理想气体,从p-V图上初态a经历(1)或(2)过程到达末态b,己知a、b两态处于同一条绝热线上(图中虚线是绝热线),则气体在( )...
- 一质量为m的球体,在距地面高度为H处自由下落,球落至地面时的速度只与m,H和重力加速度g有关,速度v的表达式为()。
- 三个容器A、B、C中装有同种理想气体,它们的分子数密度之比为nA:nB:nC=4:2:1 ,而分子的方均根速率之比为,则其压强之比 pA:pB:pC 为(...
- 如图4-79所示水平杆AB=l,质量为2m,剪断绳BC瞬间,A处约束力为( )。
A. 2mg
B. mg
C. 1/2mg
D. 1/4mg
- 由曲面所围成的立体体积的三次积分为( )。
- 如图6-4所示,用U形水银压差计测量水管A、B两点的压强差,水银面高hp=10cm, A、B两点压强差为( )kPa。
A. 13.33
B. 12....
- 如图6-15所示垂直下泄恒定流水管,出口流速v=6m/s,管径不变,上游断面1-1高于出口断面2-2,高差为4m,水头损失不计,则上断面1-1的压强水头为...
- 一个气缸内储存有一定量的单原子分子理想气体,在压缩过程中外界做功209J, 此过程气体内能增量120J,外界传给气体的热量为( )J。A. -89
B....