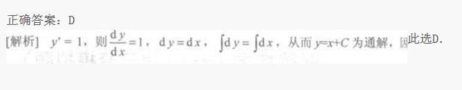
方程dy/dx-y/x=0的通解为( )。A. y= C/x
B. y = Cx
C.y= 1/x+ C
D. y = x + C
猜你喜欢
- 随着高层建筑物增多,高位水箱水使用普遍,其水质监测除增设项目外,有?()A.pH,余氯,浑浊度,细菌总数B.pH,余氯,总大肠菌群,铁C.pH,余...
- 一患者戴用全口义齿。主诉经常咬舌,无其他不适,检查发现,两侧后牙颌面低。排列偏舌侧。最好处理( )A.自凝加高旧义齿颌面B.调颌下后牙舌尖C...
- 针对患者症状,附子发挥的主要功效是A.散寒止痛
B.温通经脉
C.引火归原
D.大补元气
E.回阳救逆
- 试述心肺复苏后的主要护理措施。
- ()不符合《危险化学品安全管理条例》的有关规定。A.国家对危险化学品的生产、储存实行统筹规划、合理布局 B.国务院工业和信息化主管部门以及国务院其他有...
- ( )是对风险因子的暴露程度。A、风险敞口 B、风险价值 C、VaR估算方法 D、风险评估
- 分子内有苯丁氧基的是A.丙酸倍氯米松
B.沙美特罗
C.异丙托溴铵
D.扎鲁司特
E.茶碱
- 下列关于银行业金融机构证券投资范围的表述中,正确的是()。A:对于因处置贷款质押资产而被动持有的股票,可以买卖B:可以买卖可转换债券C:可以买卖政...
- 2016年,甲公司、乙公司与张某在A市共同出资设立丙卫浴有限责任公司(以下简称“丙公司”),注册资本为1000万元。甲公司、乙公司、张某的出资比例为5:4...
- 某高新技术企业(增值税一般纳税人)2019年2月聘请会计师事务所帮其办理2018年企业所得税汇算清缴时,会计师事务所得到该企业2018年的业务资料如下:
...