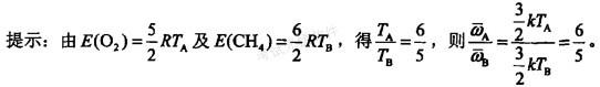
两瓶理想气体A和B, A为1mol氧气,B为1mol甲烷(CH4),它们的内能相同。 那么它们分子的平均平动动能之比为( )。A. 1:1
B. 2:3...
相关内容:理想,气体,氧气,甲烷,内能,分子,平动,动能
- 如图4-65所示,忽略质量的细杆OC=l,其端部固结均质圆盘。杆上点C为圆盘圆心。盘质量为m。半径为r。系统以角速度ω绕轴O转动。系统的动能是( )。
- 某理想气体在进行卡诺循环时,低温热源的温度为T,高温热源的温度为nT。则该理想气体在一个循环中从高温热源吸收的热量向低温热源放出的热量之比为( )。A.(...
- 若理想气体的体积为V,压强为p,温度为T, 一个分子的质量为m,k为玻耳兹曼常量,R为摩尔气体常量,则该理想气体的分子数为( )。A. pV/m
B. ...
- 均质细直杆AB长为l,质量为m,以匀角速度ω绕O轴转动,如图4-69所示, 则AB杆的动能为( )。
- 在热力学标准条件下,0.100mol的某不饱和烃在一定条件下能跟0.200g的H2发生加成反应生成饱和烃,完全燃烧时生成0.300mol的CO2气体,则该...
- 在信号源(us,Rs)和电阻RL,之间插入一个理想变压器,如图7-43所示,若电压表和电流表的读数分别为100V和2A,则信号源供出电流的有效值为()A。...
- 三个容器A、B、C中装有同种理想气体,它们的分子数密度之比为nA:nB:nC=4:2:1 ,而分子的方均根速率之比为,则其压强之比 pA:pB:pC 为(...
- 用杂化轨道理论推测下列分子空间构型,其中为平面三角形的是( )。A. NF3
B. AsH3
C. BF3
D. SbH3
- 下列分子中,键角最大的是( )。A. NH3
B. H2S
C. BeCl2
D. CCl4
- 如图2-2所示的两条f(v)-v曲线分别表示氢气和氧气在同一温度下的麦克斯韦速率分布曲线,由图中数据可得,氧气(O2)分子的最概然速率为( )m/s。
...