已知点沿半径为40cm的圆周运动,其运动规律为s=20t(s以厘米计,t以秒计)。 若t=ls,则点的速度与加速度的大小为( )。

作者: tihaiku 人气: - 评论: 0
问题 已知点沿半径为40cm的圆周运动,其运动规律为s=20t(s以厘米计,t以秒计)。 若t=ls,则点的速度与加速度的大小为( )。
选项
答案 B
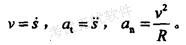
解析 提示:点的速度、切向加速度和法向加速度分别为:

相关内容:点沿,半径,运动,规律,秒计,速度,加速度,大小

猜你喜欢

发表评论
更多 网友评论0 条评论)
暂无评论

Copyright © 2012-2014 恰考网 Inc. 保留所有权利。 Powered by tikuer.com

页面耗时0.0746秒, 内存占用1.04 MB, Cache:redis,访问数据库19次