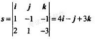
求过点M(3,-2,1)且与直线平行的直线方程是()。
相关内容:直线,方程
- 设曲线y = ln(1+ x2), M是曲线上的点,若曲线在M点的切线平行于已知直线y-x+1= 0,则M点的坐标是( )。A. (-2,ln5)
B....
- 下列关于曲面方程的结论中,错误的是()。A. 2x2-3y2-z = 1表示双叶双曲面
B. 2x2+3y2-z2=1表示单叶双曲面
C. 2x2+3...
- 在三维空间中方程y2-z2=1所代表的图形是( )。A.母线平行x轴的双曲柱面
B.母线平行y轴的双曲柱面
C.母线平行z轴的双曲柱面
D.双曲线
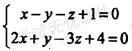
- 设直线的方程为x=y-1=z, 平面的方程为x-2y+z=0,则直线与平面( )。A.重合
B.平行不重合
C.垂直相交
D.相交不垂直
- 求过点M(3,-2,1)且与直线平行的直线方程是()。
- 已知平面π过点(1,1,0)、(0,0,1), (0,1,1),则与平面π垂直且过点(1,1,1)的直线的对称式方程为( )。
- 设平面π的方程为2x-2y+3 = 0,以下选项中错误的是( )。A.平面π的法向量为i-j
B.平面π垂直于z轴
C.平面π平行于z轴
D.平面π...
- 过z轴和点(1,2,-1)的平面方程是( )。A. x + 2y-z-6 = 0
B. 2x-y = 0
C.y+ 2z = 0
D. x+ z = 0
- 微分方程ydx+(x-y)dy=0的通解是( )。
- 微分方程y-4y=4的通解是( )(C1,C2为任意常数)。