设代表气体分子运动的平均速率,Vp代表气体分子运动的最概然速率,代表气体分子运动的方均根速率,处于平衡态下的某种理想气体,其三种速率关系为()。

作者: tihaiku 人气: - 评论: 0
问题代表气体分子运动的平均速率,Vp代表气体分子运动的最概然速率,代表气体分子运动的方均根速率,处于平衡态下的某种理想气体,其三种速率关系为()。
选项
答案 C
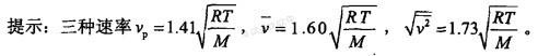
解析

相关内容:代表,气体,分子,运动,速率,最概,态下,理想,关系

猜你喜欢

发表评论
更多 网友评论0 条评论)
暂无评论
错误啦!

错误信息

  • 消息: [程序异常] : MISCONF Redis is configured to save RDB snapshots, but it's currently unable to persist to disk. Commands that may modify the data set are disabled, because this instance is configured to report errors during writes if RDB snapshotting fails (stop-writes-on-bgsave-error option). Please check the Redis logs for details about the RDB error.
  • 文件: /twcms/kongphp/cache/cache_redis.class.php
  • 位置: 第 85 行
    <?php echo 'KongPHP, Road to Jane.'; ?>