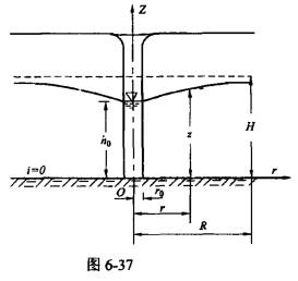
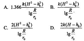
图6-37中,普通潜水井(完全井),半径为r0影响区半径为R,未受影区水位为H, 水井内水位h0,土壤渗流系数为k,该单井流量为( )。

作者: tihaiku 人气: - 评论: 0
问题 图6-37中,普通潜水井(完全井),半径为r0影响区半径为R,未受影区水位为H, 水井内水位h0,土壤渗流系数为k,该单井流量为( )。
选项
答案 A
解析 提示:参见渗流部分。

相关内容:水井,完全井,半径,影响区,影区,水位,土壤,系数,该单井,流量

猜你喜欢

发表评论
更多 网友评论0 条评论)
暂无评论
错误啦!

错误信息

  • 消息: [程序异常] : MISCONF Redis is configured to save RDB snapshots, but it's currently unable to persist to disk. Commands that may modify the data set are disabled, because this instance is configured to report errors during writes if RDB snapshotting fails (stop-writes-on-bgsave-error option). Please check the Redis logs for details about the RDB error.
  • 文件: /twcms/kongphp/cache/cache_redis.class.php
  • 位置: 第 85 行
    <?php echo 'KongPHP, Road to Jane.'; ?>