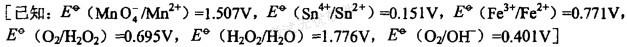
下列物质与H2O2水溶液相遇时,能使H2O2显还原性的是( )。
A. KMnO4 (酸性)
B. SnCl2
C. Fe2+
D. NaOH
猜你喜欢
- 患者男,29岁,因“全身淋巴结肿大2个月,低热伴全身不适1月余”来诊。发病来精神差。患者未婚,有多个性伴侣。查体:T37.5℃,P84次/min,R17次...
- 中国的香文化有着________的历史。 在华夏文明诞生之初,我们的祖先就将香文化融入 了进来,并成为这个悠久灿烂的人类文明中 的一笔。 从有文字记载以来...
- 关于黏液性水肿昏迷,叙述错误的是A.寒冷、感染、镇静剂、麻醉剂可诱发B.多见于老年人C.表现为躁动、高热D.表现为嗜睡、低体温E.严重时休...
- 在牙体组织的反应中哪项反应与矫治力无关A.牙骨质的吸收与牙槽骨相比,其吸收范围小、程度轻B.牙根尖进行性吸收C.牙根特发性吸收D.牙髓组织可发...
- 根据税法规定,行使税务行政处罚裁量权应当遵循的原则包括( )。A、公平公正原则
B、程序正当原则
C、信赖保护原则
D、处罚与教育相结合原则
- A.特殊臭味B.大蒜气味C.苦杏仁味D.臭鸡蛋味E.氨味苯胺具有
- 男性,50岁,上腹不适,食欲不振三个月。一个月来出现黄疸进行性加重,有体重减轻,全身明显黄染,肝未触及,深吸气时可触到肿大胆囊底部,无触痛。化验血胆红素2...
- 某男,23岁。颜面,胸背痤疮,多时散发于至身,有时聚集于一处,此愈彼起十分痛苦,常伴有皮肤油腻口渴,尿黄,便秘,舌红苔黄腻,脉滑数,治宜选用的成药是( ...
- 属于苦味药物的作用是A.补益、和中、调和药性、缓急止痛B.泻下通便、软坚散结C.收敛固涩D.清泄、通泄、降泄、燥湿、坚阴E.渗湿利小便
- 暑秽的治疗方剂是A.霄氏芳香化浊法B.藿香正气散、通关散、玉枢丹C.苏合香丸D.清宫汤、至宝丹