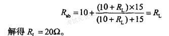
如图7-15所示电路中ab间的等效电阻与电阻RL相等,则RL为()Ω。 A.10 B.15 C.20 D.5√10

作者: tihaiku 人气: - 评论: 0
问题 如图7-15所示电路中ab间的等效电阻与电阻RL相等,则RL为()Ω。
选项 A.10 B.15 C.20 D.5√10
答案 C
解析 正确答案是C。 提示:

相关内容:如图,电路,电阻

猜你喜欢

发表评论
更多 网友评论0 条评论)
暂无评论

Copyright © 2012-2014 恰考网 Inc. 保留所有权利。 Powered by tikuer.com

页面耗时0.0418秒, 内存占用1.04 MB, Cache:redis,访问数据库19次