如图7-28所示三相对称三线制电路中,线电压为380V,且各负载Z=R=22Ω。此时功率表读数为()W。 A.3800 B.2200 C.0 D....

作者: tihaiku 人气: - 评论: 0
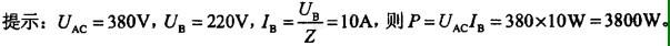
问题 如图7-28所示三相对称三线制电路中,线电压为380V,且各负载Z=R=22Ω。此时功率表读数为()W。
选项 A.3800 B.2200 C.0 D.6600
答案 A
解析 正确答案是A。

相关内容:如图,电路,电压,且各,负载,功率,读数,A.3800,B.2200

猜你喜欢

发表评论
更多 网友评论0 条评论)
暂无评论

Copyright © 2012-2014 恰考网 Inc. 保留所有权利。 Powered by tikuer.com

页面耗时0.0406秒, 内存占用1.04 MB, Cache:redis,访问数据库20次