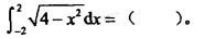
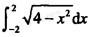
A. π B. 2π C. 3π D. π/2

作者: tihaiku 人气: - 评论: 0
问题
选项 A. π B. 2π C. 3π D. π/2
答案 B
解析 提示:由定积分的几何意义,知等于半径为2的圆的面积的一半。

猜你喜欢

发表评论
更多 网友评论0 条评论)
暂无评论

Copyright © 2012-2014 恰考网 Inc. 保留所有权利。 Powered by tikuer.com

页面耗时0.0654秒, 内存占用1.03 MB, Cache:redis,访问数据库14次