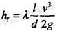
铜管直径D=10mm,流量Q=4.71L/min,在10m管长上的水头损失为1.918m,则 其沿程损失系数是( )。A. 0.03 B. 0.037 ...

作者: tihaiku 人气: - 评论: 0
问题 铜管直径D=10mm,流量Q=4.71L/min,在10m管长上的水头损失为1.918m,则 其沿程损失系数是( )。
选项 A. 0.03 B. 0.037 6 C. 0.025 D. 0.017
答案 B
解析 提示:先根据连续方程求出流速,再用求出沿程损失系数。

相关内容:铜管,直径,流量,长上,水头,1.918m,其沿,程损失,损失,系数

猜你喜欢

发表评论
更多 网友评论0 条评论)
暂无评论

Copyright © 2012-2014 恰考网 Inc. 保留所有权利。 Powered by tikuer.com

页面耗时0.0630秒, 内存占用1.03 MB, Cache:redis,访问数据库14次