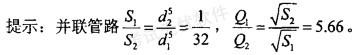
作用水头相同的两管道1、2,两管的直径d1=2d2,沿程阻力系数相同,长度相同, 不计局部损失,则通过的流量关系为( )。A. Q1=Q2 B. Q1=...

作者: tihaiku 人气: - 评论: 0
问题 作用水头相同的两管道1、2,两管的直径d1=2d2,沿程阻力系数相同,长度相同, 不计局部损失,则通过的流量关系为( )。
选项 A. Q1=Q2 B. Q1=2.64Q2 C.Q1=5.66Q2 D. Q1=6.14Q2
答案 C
解析

相关内容:作用,水头,管道,两管,直径,沿程,阻力,系数,长度,局部,损失,流量,关系

猜你喜欢

发表评论
更多 网友评论0 条评论)
暂无评论

Copyright © 2012-2014 恰考网 Inc. 保留所有权利。 Powered by tikuer.com

页面耗时0.1061秒, 内存占用1.04 MB, Cache:redis,访问数据库20次