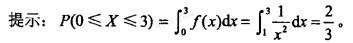
设随机变量X的概率密度为A. 1/3
B. 2/3
C. 1/2
D.1/4
相关内容:变量,概率,密度
- 三个容器A、B、C中装有同种理想气体,它们的分子数密度之比为nA:nB:nC=4:2:1 ,而分子的方均根速率之比为,则其压强之比 pA:pB:pC 为(...
- 已知某理想气体的压强为p,体积为V,温度为T,气体的摩尔质量为M, k为玻耳兹曼常量,R为摩尔气体常量,则该理想气体的密度为( )。A. M/V
B. ...
- 设服从N(0,1)分布的随机变量X,其分布函数为Φ(x)。如果Φ(1)=0.84,则P{ X ≤1}的值是( )。A. 0.25
B. 0.68
C....
- 设随机变量X的概率密度为A. 1/3
B. 2/3
C. 1/2
D.1/4
- 已知随机变量X~N(2,22),且Y=aX+b~N(0,1),则( )。A. a = 2,b = -2
B. a = -2,b = -1
C. a =...
- 离散型随机变量X的分布为P(X=k) =cλk(k=0,1,2,...),则不等式不成立的是 ( )。A. c>0 B. 0
- 设随机变量X的分布密度为( )。
- 10张奖券中含有2张中奖的奖券,每人购买一张,则前4个购买者中恰有1人中奖的概率是( )。A. 0.84
B. 0.1
C. C1040.2x0.83...
- 10把钥匙中有3把能打开门,今任取两把,那么能打开门的概率是( )。A.7/15
B. 8/15
C. 6/15
D.9/15
- 管阻力的模型实验,使用同一管材,原型与模型流体密度比尺为λρ= 800,粘度比尺λv= 1/16,测得模型压差为100Pa,原型压差为( )Pa。A. 8...