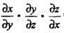
已知xy=kz(k为正常数),则等于( )。A. 1 B. -1 C. k D. 1/k

作者: tihaiku 人气: - 评论: 0
问题 已知xy=kz(k为正常数),则等于( )。
选项 A. 1 B. -1 C. k D. 1/k
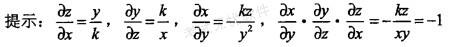
答案 B
解析 正确答案是B。

猜你喜欢

发表评论
更多 网友评论0 条评论)
暂无评论

Copyright © 2012-2014 恰考网 Inc. 保留所有权利。 Powered by tikuer.com

页面耗时0.0431秒, 内存占用1.04 MB, Cache:redis,访问数据库20次