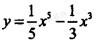
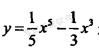
对于曲线,下列说法不正确的是( )。A.有3个极值点 B.有3个拐点 C.有2个极值点 D.对称原点

作者: tihaiku 人气: - 评论: 0
问题 对于曲线,下列说法不正确的是( )。
选项 A.有3个极值点 B.有3个拐点 C.有2个极值点 D.对称原点
答案 A
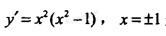
解析 提示:是极值点,是拐点的横坐标,故有3个拐点:函数是奇函数,曲线关于原点对称。

相关内容:曲线,说法,极值,拐点,原点

猜你喜欢

发表评论
更多 网友评论0 条评论)
暂无评论
错误啦!

错误信息

  • 消息: [程序异常] : MISCONF Redis is configured to save RDB snapshots, but it's currently unable to persist to disk. Commands that may modify the data set are disabled, because this instance is configured to report errors during writes if RDB snapshotting fails (stop-writes-on-bgsave-error option). Please check the Redis logs for details about the RDB error.
  • 文件: /twcms/kongphp/cache/cache_redis.class.php
  • 位置: 第 85 行
    <?php echo 'KongPHP, Road to Jane.'; ?>