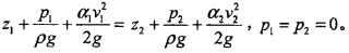
图6-16所示一高压喷嘴,喷嘴出口断面1-1的平均流速为10m/s,喷至2-2断面的平均流减少为1m/s,不计水头损失,则喷射高度H为( )m。 A. ...

作者: tihaiku 人气: - 评论: 0
问题 图6-16所示一高压喷嘴,喷嘴出口断面1-1的平均流速为10m/s,喷至2-2断面的平均流减少为1m/s,不计水头损失,则喷射高度H为( )m。
选项 A. 4.54 B. 3.25 C. 5.05 D. 6.22
答案 C
解析 提示:列1-1,2-2两断面能量方程

相关内容:高压,喷嘴,出口,断面,流速,喷至,水头,损失,高度

猜你喜欢

发表评论
更多 网友评论0 条评论)
暂无评论
错误啦!

错误信息

  • 消息: [程序异常] : MISCONF Redis is configured to save RDB snapshots, but it's currently unable to persist to disk. Commands that may modify the data set are disabled, because this instance is configured to report errors during writes if RDB snapshotting fails (stop-writes-on-bgsave-error option). Please check the Redis logs for details about the RDB error.
  • 文件: /twcms/kongphp/cache/cache_redis.class.php
  • 位置: 第 85 行
    <?php echo 'KongPHP, Road to Jane.'; ?>