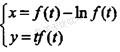
参数方程确定了y是x的函数,且f,(t)存在,f(0) = 2, f,(0) = 2,则当t=0时,dy/dx的值等于( )。A. 4/3
B. -4/...
相关内容:参数,方程,函数,则当
- 应用总流能量方程时,选择不同的高度基准面( )。A.会影响流速的计算结果
B.会影响压强的计算结果
C.会影响测压管水头的数值
D.都不会影响
- 应用总流能量方程时,过流断面应选择( )。A.急变流断面
B.均匀流或渐变流断面
C.水平面
D.任意过流断面
- 总流能量方程中z+p/ρg+v2/2g表示( )。A.单位重量流体具有的机械能
B.单位质量流体具有的机械能
C.单位体积流体具有的机械能
D.通过...
- 一元流动是指( )。A.均匀流
B.速度分布按直线变化的流动
C.运动参数随一个空间坐标和时间变化的流动
D.流线为直线的流动
- 下列选项不正确的说法是()。A.所有的信号都能用确定的时间函数来描述
B.在时域中模拟信号用连续的时间函数描述
C.若交流电压信号是周期信号,可用周期...
- 下列命题中正确的是()。A.己知逻辑函数A+B=A+C,则B=C
B.己知逻辑函数A+B=AB,则A=B
C.已知逻辑函数A+B=A,则A=1
D....
- 如图7-16所示电路中,US=10V,i=1mA,则()。
A.因为i2=0,使电流i1=1mA.因为参数
B未知,无法求出电流i
C.虽然电流...
- 如图7-14所示电路的戴维南等效电路参数US和RS各为下列何值?()
A.9V,2Ω
B.3V,4Ω
C.3V,6Ω
D.9V,6Ω
- 点作直线运动,运动方程x=27t-t3, x的单位为米,t的单位为秒。则点在t=0到t=7s的时间间隔内走过的路程为( )m。A. 154
B. 262...
- 如图2-10所示,两列平面简谐相干波分别沿S1P和S2P 传播,波速均为10m/s, t=0时,在S1和S2处质点的振动方程分别为y1=0.03cosl0...