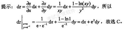
若函数z=ln(xy)/y,则当x=e,y=e-1时,全微分dz等于( )。A. edx + dy
B. e2dx-dy
C. dx + e2dy
...
相关内容:函数,则当,微分,e2dx-dy
- 下列命题中正确的是()。A.己知逻辑函数A+B=A+C,则B=C
B.己知逻辑函数A+B=AB,则A=B
C.已知逻辑函数A+B=A,则A=1
D....
- 求解质点动力学问题时,质点运动的初始条件是用来( )。A.分析力的变化规律
B.确定积分常数
C.建立质点运动微分方程
D.分离积分变量
- 质量为m的物体自高H处水平抛出,运动中受到与速度一次方成正比的空气阻力 FR作用,FR =-kmv, k为常数。则其运动微分方程为( )。
- 下列波函数不合理的是( )A. Ψ(1,1,0)
B. Ψ(2,1,0)
C. Ψ(3,2,0,)
D. Ψ(5,3,0)
- 某种理想气体的总分子数为N,分子速率分布函数为f(v),则速率在v1~v2区间内的分子数是()。
- 微分方程y''+2y=0的通解是( )。
- 下列函数中不是方程y''-2y'+y= 0的解的函数是( )。A. x2ex
B. ex
C. xex
D. (x+2)ex
- 已知。r1=3,r2=-3是方程y+py+q=0 (p和q是常数)的特征方程的两个根, 则该微分方程是( )。A. y+9y=0= 0
B. y-9y=...
- 若y2(x)是线性非齐次方程y'+p(x)y=q(x)的解,y1(x)是对应的齐次方程y'+p(x)y=0的解,则下列函数也是y'+p(x)y=q(...
- 微分方程y''=y'2的通解是( )(C1、C2为任意常数)。