圆周ρ=cosθ,ρ=2cosθ及射线θ=0,θ=π/4所围图形的面积S为( )。

作者: tihaiku 人气: - 评论: 0
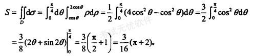
问题 圆周ρ=cosθ,ρ=2cosθ及射线θ=0,θ=π/4所围图形的面积S为( )。
选项
答案 C
解析 提示:

相关内容:圆周,射线,围图,面积

猜你喜欢

发表评论
更多 网友评论0 条评论)
暂无评论

Copyright © 2012-2014 恰考网 Inc. 保留所有权利。 Powered by tikuer.com

页面耗时0.0501秒, 内存占用1.04 MB, Cache:redis,访问数据库20次