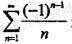
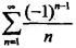
级数的收敛性是( )。A.绝对收敛 B.条件收敛 C.等比级数收敛 D.发散

作者: tihaiku 人气: - 评论: 0
问题 级数的收敛性是( )。
选项 A.绝对收敛 B.条件收敛 C.等比级数收敛 D.发散
答案 B
解析 提示:是交错级数,符合莱布尼茨定理条件,收敛,但发散,条件收敛,应选B。

相关内容:级数,收敛,条件,等比级数

猜你喜欢

发表评论
更多 网友评论0 条评论)
暂无评论

Copyright © 2012-2014 恰考网 Inc. 保留所有权利。 Powered by tikuer.com

页面耗时0.0381秒, 内存占用1.04 MB, Cache:redis,访问数据库18次