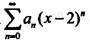
若级数在x = -2处收敛,则此级数在x= 5处( )。A.发散 B.条件收敛 C.绝对收敛 D.收敛性不能确定

作者: tihaiku 人气: - 评论: 0
问题 若级数在x = -2处收敛,则此级数在x= 5处( )。
选项 A.发散 B.条件收敛 C.绝对收敛 D.收敛性不能确定
答案 C
解析 提示:利用阿贝尔定理,级数在(-2,6)内绝对收敛。

相关内容:级数,收敛,条件

猜你喜欢

发表评论
更多 网友评论0 条评论)
暂无评论
错误啦!

错误信息

  • 消息: [程序异常] : MISCONF Redis is configured to save RDB snapshots, but it's currently unable to persist to disk. Commands that may modify the data set are disabled, because this instance is configured to report errors during writes if RDB snapshotting fails (stop-writes-on-bgsave-error option). Please check the Redis logs for details about the RDB error.
  • 文件: /twcms/kongphp/cache/cache_redis.class.php
  • 位置: 第 85 行
    <?php echo 'KongPHP, Road to Jane.'; ?>