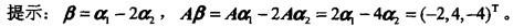
已知λ= 2是三阶矩A的一个特征值,α1、α2是A的属于λ= 2的特征向量。 若α1=(1,2,0)T,α2=(1,0,1)T,向量β= (-1,2,-2...
相关内容:三阶,特征值,特征,向量
- 信息有多个特征,下列四条关于信息特征的叙述中,有错误的一条是()。A.信息的可识别性,信息的可变性,信息的可流动性
B.信息的可处理性,信息的可存储性,...
- 下面不属于网络安全特征的是()。A.完整性
B.可用性
C.可控性
D.公开性
- 操作系统作为一种系统软件,存在着与其他软件明显不同的三个特征是()。A.可操作性、可视性、公用性
B.并发性、共享性、随机性
C.随机性、公用性、不可...
- 按近代量子力学的观点,核外电子的运动特征为( )。A.具有波粒二象性
B.由Ψ2表示电子在核外出现的概率
C.原子轨道的能量呈连续变化
D.电子运动...
- 设α、β、γ均为三维列向量,以这三个向量为列构成的3阶方阵记为A,即A=(αβγ)。若α、β、γ所组成的向量组线性相关,则 A 的值是( )。A.大于0
...
- 已知。r1=3,r2=-3是方程y+py+q=0 (p和q是常数)的特征方程的两个根, 则该微分方程是( )。A. y+9y=0= 0
B. y-9y=...
- 设直线的方程为,则直线()。A.过点(1,-1,0),方向向量为2i+j-k
B.过点(1,-1,0),方向向量为2i-j+k
C.过点(-1,1,0...
- 设平面π的方程为2x-2y+3 = 0,以下选项中错误的是( )。A.平面π的法向量为i-j
B.平面π垂直于z轴
C.平面π平行于z轴
D.平面π...
- 已知两点M(5,3,2)、N(1,-4,6),则单位向量MN0可表示为( )。
- 设α,β,γ都是非零向量,α×β=α×γ,则( )。A. β=γ
B. α//β 且α//γ
C. α//(β-γ)
D. α⊥(β-γ)