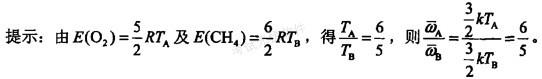
两瓶理想气体A和B, A为1mol氧气,B为1mol甲烷(CH4),它们的内能相同。 那么它们分子的平均平动动能之比为( )。A. 1:1
B. 2:3...
相关内容:理想,气体,氧气,甲烷,内能,分子,平动,动能
- 电路如图所示,其中运算放大器A的性能理想,若ui=Sin(ωt)V,那么电路的输出功率P0为( )。
A. 6. 25W
B. 12. 5W
C. ...
- 在图示桥式整流电容滤波电路中,若二极管具有理想的特性,那么,当, RL= 10kΩ,C = 50uF时,U0为下列哪项数值?( )A. 9V
B. 10...
- 气体质量和温度不变,绝对压强变为原来的2倍,则密度变为原来的()倍。A. 0.5
B.1.56
C. 1.37
D. 2
- 电路如图7-49所示,已知R1=R2=2kΩ,R3=3kΩ,VD为理想二极管,电流I为()mA。
A.0.75
B.0
C.1
D.3
- 在信号源(us,RS)和电阻RL之间接入一个理想变压器,如图7-44所示,若uS=80sinωtV,RL=10Ω,且此时信号源输出功率最大,那么,变压器的...
- 在信号源(us,Rs)和电阻RL,之间插入一个理想变压器,如图7-43所示,若电压表和电流表的读数分别为100V和2A,则信号源供出电流的有效值为()A。...
- 半径为R、质量为m的均质圆轮沿斜面作纯滚动如图4-75所示。已知轮心C的速度为V、加速度为a,则该轮的动能为( )。
A. 1/2mv2
B. 3/...
- 如图4-72所示,质量为m1的均质杆OA, 一端较接在质量为m2的均质圆盘中心, 另一端放在水平面上,圆盘在地面上作纯滚动。圆心速度为v,则系统的动能为(...
- 均质细直杆AB长为l,质量为m,以匀角速度ω绕O轴转动,如图4-69所示, 则AB杆的动能为( )。
- 在图4-64中,杆AB在该位置的动能为( )。
A. 1/2mv2
B. 1/3mv2
C. 2/3mv2
D. 4/3mv2