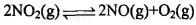
在一个容器中,反应,恒温条件下达到平衡后,若加入一定的Ar气体保持总压力不变,平衡将会( )。A.向正反应方向移动 B.向逆反应方向移动 C.没有变化...

作者: tihaiku 人气: - 评论: 0
问题 在一个容器中,反应,恒温条件下达到平衡后,若加入一定的Ar气体保持总压力不变,平衡将会( )。
选项 A.向正反应方向移动 B.向逆反应方向移动 C.没有变化 D.不能判断
答案 A
解析 分析:平衡系统中加入一定的Ar气体而保持总压力不变,Ar是惰性气体,不参加反应,但平衡系统的总物质量n增大,根据分压定律,P1=n1P总/n,反应方程式中各物质的分压减少,因此平衡向着气体分子数增大的方向(正向) 移动,故答案是A。

相关内容:容器,反应,恒温,气体,压力,方向,移动,逆反应

猜你喜欢

发表评论
更多 网友评论0 条评论)
暂无评论

Copyright © 2012-2014 恰考网 Inc. 保留所有权利。 Powered by tikuer.com

页面耗时0.0309秒, 内存占用1.03 MB, Cache:redis,访问数据库14次