波长为λ单色光垂直照射到置于空气中的玻璃劈尖上,玻璃的折射率为n,观察反射光的干涉,则第三级暗条纹处的玻璃厚度为( )。

作者: tihaiku 人气: - 评论: 0
问题 波长为λ单色光垂直照射到置于空气中的玻璃劈尖上,玻璃的折射率为n,观察反射光的干涉,则第三级暗条纹处的玻璃厚度为( )。
选项
答案 A
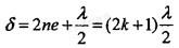
解析 提示:棱尖处为暗纹,取k=3,故正确答案是A。

相关内容:单色光,空气,玻璃,劈尖,折射率,反射,条纹,厚度

猜你喜欢

发表评论
更多 网友评论0 条评论)
暂无评论

Copyright © 2012-2014 恰考网 Inc. 保留所有权利。 Powered by tikuer.com

页面耗时0.0382秒, 内存占用1.04 MB, Cache:redis,访问数据库19次