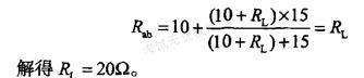
如图7-15所示电路中ab间的等效电阻与电阻RL相等,则RL为()Ω。
A.10
B.15
C.20
D.5√10
相关内容:如图,电路,电阻
- 将三相感应电动机的转子电阻增大一倍,则最大电磁转矩将会()。
(A)增大 (B)减小 (C)不变 (D)不确定
- 一台汽轮发电机并于无穷大电网运行,其额定容量SN=31.25MVA,UN=10.5kV,cosψN=0.8(滞后),Xc=7Ω,不计定子电阻,Y接法。发电...
- 将三相感应电动机的转子电阻增大一倍,则最大电磁转矩将会()。
(A)增大 (B)减小 (C)不变 (D)不确定
- 按照国家技术标准规定,计算变压器的性能时,对绕阻电阻的温度要换算到()数值。
(A)40℃ (B)55℃ (C)65℃ (D)75℃
- 一台三相同步电动机的同步电抗Xc=5.8Ω,UN=380V,IN=25.3A,cosψ=0.9,不计定子电阻,Y接法。额定状态运行时的空载电动势E0=25...
- —台单相变压器的额定容量SN=100kVA,额定电压U1N/U2N=3.3/0.22kV,短路电阻Rk=0.8775Ω,短路电抗Xk=6.0245Ω,则该...
- —台三相4极的感应电动机运行在额定状态,其f=50Hz,nN=1460r/min,转子电阻实际值R2=0.106Ω。在负载转矩不变的情况下,当转子电路中串...
- 变压器励磁电阻Rm的物理意义是反映变压器()的一个等效电阻。
(A)总损耗 (B)短路损耗 (C)铁芯损耗 (D)二次绕组损耗
- —台Y/△—11连接的三相变压器,其额定容饿SN=5600kVA,额定电压U1N/U2N=35/6.3kV,短路电阻Rk=2.07短路电抗Xk=16.2Ω...
- 在三相感应电动机的转子电路中串入电抗,则电机的启动转矩将会()。
(A)增大 (B)减小 (C)不变 (D)不确定