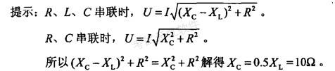
在R、L、C串联电路中,XL=20Ω:若总电压维持不变而将L短路,总电流的有效值与原来相同,则XC应为()Ω。A.40
B.30
C.10
D.5
相关内容:电路,若总,电压,短路,总电,有效值
- 一台单相变压器的额定电压为220/110V,在低压侧测得励磁阻抗 Zm =600,则在髙压侧测得的励磁阻抗为()Ω。
(A)60 (B)120 (C)2...
- ()不是引起操作过电压的原因。
(A)铁磁谐振 (B)空载线路合闸(C)切断空载变压器(D)断续电弧接地
- —台三相变压器的额定电压U1N/U2N=10/0.4kV,连接组为Y/△—11,该变压器的变比为()。
(A)25 (B)18.4 (C)14.4 (D...
- 一台单相变压器的额定容量SN=100kVA,额定电压U1N/U2N=6/0.23kV,—次绕组电阻与漏抗为R1,=4.32Ω、X1=8.9二次绕组电阻与漏...
- 一台三相变压器的额定容量SN=5600kVA,额定电压U1N/U2N=10/6.3kV,连接组为Y/△—11。在高压边做短路试验,加线电压为650V,测得...
- 我国电力网络目前的额定电压主要有()。
(A) 3kV,6kV,10kV,35kV,110kV,220kV,330kV,500kV
(B) 3kV,6...
- 发电机的额定电压比网络的额定电压髙()。
(A)5% (B)10% (C)0% (D)15%
- 变压器利用电磁感应作用实现电压变换的根本方法是()。
(A)—次与二次绕组的匝数相同 (B)—次与二次绕组的匝数不同
(C)一次与二次绕组有电的联系 ...
- 如上题所述,电机的最大转矩()。
(A)不变 (B)变大
(C)Tm降至额定电压时的81% (D)Tm降至额定电压时的90%
- 三相系统短路类型中属于对称短路的是()。
(A)单相短路接地(B)三相短路 (C)两相短路 (D)单相短路接地