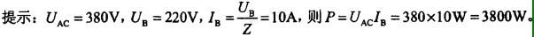
如图7-28所示三相对称三线制电路中,线电压为380V,且各负载Z=R=22Ω。此时功率表读数为()W。
A.3800
B.2200
C.0
D....
相关内容:如图,电路,电压,且各,负载,功率,读数,A.3800,B.2200
- 某台发电机额定有功功率25MW,额定电压10.5kV,额定功率因数0.85,则该发电机以额定功率因数运行,可发无功功率为()MVar。
(A)15.5 ...
- 已知某条长80km220kV的线路,末端空载,则首端电压幅值U1与末端电压幅值U1之间的关系是()。
(A)U2>U1 (B)U21 (C)U2=U1 ...
- 一台汽轮发电机并于无穷大电网,额定运行时功角θN=25°。因故障,电压降至0.5UN,若使功角θ不超过35°,空载电动势E0应上升为原来的()倍。
(A...
- 一台三相4级感应电动机,在某一运行情况下,电动机从电源输入功率为6kW,定子铜耗PCu1=300W,铁耗PFe=150W,转子铜耗PCu2=200W,机械...
- 一台单相变压器的额定电压为220/110V,在低压侧测得励磁阻抗 Zm =600,则在髙压侧测得的励磁阻抗为()Ω。
(A)60 (B)120 (C)2...
- 有一条100km的220kV输电线路,线路毎公里的参数r0+jx0=0.08+j0.33Ω,b0=2.85x1O-6S,已知首端实际电压为230kV,末端...
- 如题4-108所给数据,该电机的轴上输出转矩(即负载转矩)T2为()N?M。
(A)33.48 (B)34.94 (C)35.46 (D)34.82
- 并联于无穷大电网的同步发电机,若保持有功功率不变,由过励运行状态变为欠励运行,则其()。
(A)功率因数角由正变负,功角由大变小(B)功率因数角由负变正...
- 短路容址也称短路功率,已知SB=100MVA,I?t=0.8,则SB为()MVA。
(A)40 (B)80 (C)113 (D)190
- 某工厂的负荷为2000kW,cosψ=0.6(滞后)。为改善功率因数,在负载端并联一台三相同步电动机。若只要求同步电动机将该厂的功率因数提髙到1,该同步电...