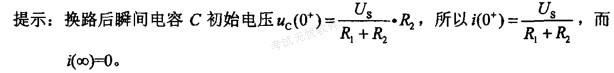
在图7-33所示电路中,开关k在t=0时刻打开,此后,电流i的初始值和稳态值分别为()。
相关内容:在图,电路,开关,时刻,电流,初始,稳态
- 雷电流是指()时流经被击物体的电流。
(A)被击物体的集中阻抗为零(B)主放电通道的波阻抗为零
(C)主放电的速度等于光速(D)被击物体的集中阻抗与主...
- 下列关于零序网络说法不正确的是()。
(A)零序网络是一个无源网络 (B)零序电流能流通的元件与正、负序的不同
(C)所有电源的零序电势为零 (D)零...
- 如上题所给数据,则该电机额定运行时的电流IN为()A。
(A)13.83 (B)27.48 (C)23.95 (D)15.87
- 并联于无穷大电网的同步发电机,若保持电枢电流为额定值,欲使Cosψ=O.8(滞后)变为cosψ(滞后),必须()。
(A)增加励磁电流,同时增加输入功率...
- —台绕线式感应电动机,定子绕组通入三相交流电流,旋转磁场逆时针方向旋转,转子绕組开路,此时电动机将会()。
(A)逆时针方向旋转(B)顺时针方向旋转(C...
- 并联于无穷大电网的发电机,欲提高其过载能力,应当()。
(A)减小励磁电流,减小发电机的输出功率
(B)增大励磁电流,减小发电机的输出功率
(C)增...
- 一台单相变压器的额定电压为U1N/U2N=10/0.4kV = 10/0.4 kV,额定电流为I1N/I2N =25/625 A,则变压器的额定容量SN为...
- 变压器空载合闸时不产生冲击电流的电压初相角α0为()。
(A)0 (B)π/6 (C)π/3 (D)π/2
- —台并联于无穷大电网的同步发电机,在电流落后于电压某一相角时,保持原动机输入不变,逐渐减小励磁电流,则电枢电流为()。
(A)渐大 (B)先增大后减小(...
- —台三相变压器的额定数据为=750kVA,U1N/U2N=10/0.4kV,连接组为Y/Yn-0。在低压侧做空载试验,测得线电压为400V,线电流为60A...