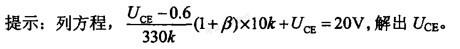
某放大电路如图7-53所示,已知三极管电流放大系数β=50,UBE=0.6V,静态时UCE等于()V。
A.10.2
B.7.6
C.6.8
D.8.3
问题
某放大电路如图7-53所示,已知三极管电流放大系数β=50,UBE=0.6V,静态时UCE等于()V。
选项
A.10.2
B.7.6
C.6.8
D.8.3
答案
D
解析
正确答案是D。
相关内容:电路,如图,7-53所示,三极管,电流,静态,A.10.2
一台隐极同步发电机并于无穷大电网运行,其每相额定电压UNP=6.3kV,额定电流IN=572A,cosψN=0.8(滞后),Xc=5.3Ω,不计定子电阻,... 三相感应电动机等值电路中的电阻(上消耗的功率为()。
(A)轴上输出机械功率(B)电磁功率(C)输入功率 (D)总机械功率 雷电流是指()时流经被击物体的电流。
(A)被击物体的集中阻抗为零(B)主放电通道的波阻抗为零
(C)主放电的速度等于光速(D)被击物体的集中阻抗与主... 下列关于零序网络说法不正确的是()。
(A)零序网络是一个无源网络 (B)零序电流能流通的元件与正、负序的不同
(C)所有电源的零序电势为零 (D)零... 一台三相同步发电机在对称负载下稳定运行,当电枢电流I与空载电动势E0之间的夹角为-90°(A)直轴助磁电枢反应
(B)既有直轴去磁电枢反应,又有交轴电枢... 一台单相变压器的额定电压为U1N/U2N=10/0.4kV = 10/0.4 kV,额定电流为I1N/I2N =25/625 A,则变压器的额定容量SN为... —台三相变压器的额定容傲SN =3 200 KVA,额定电压U1N/U2N=35/10. 5 KV,其 —次侧额定电流为( )A。
(A)91.4 (B... 一台三相同步发电机在对称负载下稳定运行,当电枢电流I与空载电动势E0之间的夹角为-90°(A)直轴助磁电枢反应
(B)既有直轴去磁电枢反应,又有交轴电枢... 短路电流计算的假设条件不包括()。
(A)计及发电机、变压器的磁路饱和 (B)负荷只作近似估计
(C)所有短路为金属性短路 (D)短路时系统中各电源仍... —台并联于无穷大电网的同步发电机,在电流落后于电压某一相角时,保持原动机输入不变,逐渐减小励磁电流,则电枢电流为()。
(A)渐大 (B)先增大后减小(...
错误啦!
错误信息
消息: [程序异常] : MISCONF Redis is configured to save RDB snapshots, but it's currently unable to persist to disk. Commands that may modify the data set are disabled, because this instance is configured to report errors during writes if RDB snapshotting fails (stop-writes-on-bgsave-error option). Please check the Redis logs for details about the RDB error.
文件: /twcms/kongphp/cache/cache_redis.class.php
位置: 第 85 行
<?php echo 'KongPHP, Road to Jane.'; ?>