某企业根据过去的利润总额进行利润预测,过去5年的利润总额如表。  要求:根据几何平均增长率预测第6年的利润。

作者: tihaiku 人气: - 评论: 0
问题 某企业根据过去的利润总额进行利润预测,过去5年的利润总额如表。  要求:根据几何平均增长率预测第6年的利润。
选项
答案
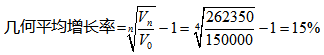
解析  第6年利润=262350×(1+15%)=301702.5(元)

相关内容:企业,根据,利润,总额,预测,要求,几何,增长率

猜你喜欢

发表评论
更多 网友评论0 条评论)
暂无评论

访问排行

Copyright © 2012-2014 恰考网 Inc. 保留所有权利。 Powered by tikuer.com

页面耗时0.0446秒, 内存占用1.04 MB, Cache:redis,访问数据库17次