甲公司为一家境内上市的集团企业,主要从事基础设施建设、设计及装备制造等业务,正 实施从承包商、建筑商向投资商、运营商的战略转型。2017 年一季度末,甲...

作者: tihaiku 人气: - 评论: 0
问题 甲公司为一家境内上市的集团企业,主要从事基础设施建设、设计及装备制造等业务,正 实施从承包商、建筑商向投资商、运营商的战略转型。2017 年一季度末,甲公司召开由中高层管理人员参加的公司战略规划研讨会。有关人员发言要点如下: (1)投资部经理:近年来,公司积极谋求业务转型,由单一的基础设施工程建设向包括基础设施工程、生态环保和旅游开发建设等在内的相关多元化投资领域拓展。在投资业务推动下,公司经营规模逐年攀升,2014 年至 2016 年年均营业收入增长率为 10.91%,而同期同行业年均营业收入增长率为 7%。预计未来五年内,我国基础设施工程和生态环保类投资规模仍将保持较高的增速,公司处于重要发展机遇期。在此形势下,公司应继续扩大投资规模。建议 2017 年营业收入增长率调高至 12%。 (2)运营部经理:考虑到当前全球经济增长乏力,海外建筑市场面临诸多不确定因素,加之公司国际承包项目管理相对粗放,且已相继出现多个亏损项目,公司应在合理控制海外项目投标节奏的同时,果断采取措施强化海外项目的风险管理。建议 2017 年营业收入增长率低至 8%。 (3)财务部经理:公司战略转型要充分评估现有财务资源条件。近年来,公司经营政策和财务政策一直保持稳定状态,未来不打算增发新股。2016 年末,公司资产总额为 8000 亿元,负债总额为 6000 亿元;年度营业收入总额为 4000 亿元,净利润为 160 亿元,分配现金股利 40 亿元。 (4)总经理:公司应向开拓市场、优化机制、协同发展要成效。一是要抓住当前“一带一路” 建设的机遇,加快国内国外两个市场的投资布局,合理把握投资节奏,防范投资风险。二是考虑到在不对外融资的情况下仅仅依靠内部留存收益可以实现的销售增长非常有限。公司要积极拓展融资渠道,利用银行贷款和债券发行等债务融资工具,最大限度地使用外部资金满足公司投资业务资金需求。 假定不考虑其他因素。 要求:
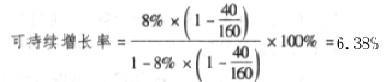
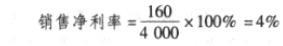
选项 根据资料(3),计算甲公司 2016 年净资产收益率、销售净利率和 2017 年可持续增长率,并从可持续增长角度指出提高公司增长速度的主要驱动因素。
答案
解析 驱动因素:提高销售净利率水平、提高资产周转能力和削减现金股利等。

相关内容:公司,一家,境内,上市,集团,企业,基础设施,建设,设计,装备,制造,等业务,承包商,建筑商,投资商,运营商,战略,转型

猜你喜欢

发表评论
更多 网友评论0 条评论)
暂无评论

访问排行

Copyright © 2012-2014 恰考网 Inc. 保留所有权利。 Powered by tikuer.com

页面耗时0.0335秒, 内存占用1.05 MB, Cache:redis,访问数据库19次