某沿海疏浚工程拟投入一艘绞吸挖泥船施工,疏浚工程量为600万m3,土质为可塑的黏土,挖泥平均厚度为6.0m。挖泥船排泥管内径为φ700mm,测算管内泥浆平...

作者: tihaiku 人气: - 评论: 0
问题 某沿海疏浚工程拟投入一艘绞吸挖泥船施工,疏浚工程量为600万m3,土质为可塑的黏土,挖泥平均厚度为6.0m。挖泥船排泥管内径为φ700mm,测算管内泥浆平均流速为4.5m/s,泥浆平均密度为1.2t/m3,绞刀平均横移速度为12.0m/min、前移距为1.5m、切泥厚度为2.0m、挖掘系数为0.8,挖泥船时间利用率平均为65%。海水密度为1.025t/m3,原状土密度为1.80t/m3。 【问题】 ?1.计算排泥管内泥浆体积浓度。(计算结果保留2位小数,下同) ?2.计算确定绞吸挖泥船的计划生产率。 ?3.计算完成该项目的施工天数。 ?4.针对本工程选择适宜的绞刀型式,并简述确定分层挖泥厚度应考虑的因素。
选项
答案
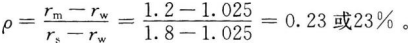
解析 1.排泥管内泥浆体积浓度: 泥浆体积浓度=[(泥浆密度-当地水密度)/(土体的天然密度-泥浆密度)] ×100%: 2.①挖掘生产率: 挖掘生产率=60×绞刀挖掘系数×绞刀前移距×绞刀切泥厚度×绞刀横移速度, W1=60k×D×T×V=60×0.8×1.5×2.0×12=1728.00m3/h。 ②吸输生产率: 泥泵管路吸输生产率=泥泵管路工作流量×泥浆浓度, 挖掘生产率和泥泵吸输生产率两者之间,取其较小者为计划生产率,本船计划生产率为1433.21m3/h。 3.日产量:1433.21×24×65%=22358.08m3/d。 4.针对本工程选择适宜的绞刀型式:可塑黏土可选用直径较大的冠形方齿绞刀。 分层挖泥厚度应考虑的因素是:土质和绞刀的性能。

相关内容:工程,一艘,绞吸,挖泥船,施工,工程量,600万,土质,黏土,厚度,排泥,内径,管内,泥浆

猜你喜欢

发表评论
更多 网友评论0 条评论)
暂无评论

访问排行

Copyright © 2012-2014 恰考网 Inc. 保留所有权利。 Powered by tikuer.com

页面耗时0.0342秒, 内存占用1.04 MB, Cache:redis,访问数据库19次