某十万t级海港码头,采用重力式沉箱结构,沉箱外形尺寸如图1、图2所示,沉箱被隔墙均匀地分为12个隔仓,沉箱四周壁厚为500mm,中间隔墙厚为250mm,底...

作者: tihaiku 人气: - 评论: 0
问题 某十万t级海港码头,采用重力式沉箱结构,沉箱外形尺寸如图1、图2所示,沉箱被隔墙均匀地分为12个隔仓,沉箱四周壁厚为500mm,中间隔墙厚为250mm,底板厚为1500mm。沉箱四周壁墙上设有8个直径声400mm的吊孔,6个直径φ120mm的进水孔,隔墙上设有6个直径φ320mm的过水孔。沉箱采用滑模施工,浮运拖带法运输,沉箱吃水为14.5m,拖船速度为5.0km/h,水流方向与拖船方向相同,流速为0.5m/s,箱前涌水高度为0.6m。 【问题】 ?1.滑模系统由哪些部分组成? ?2.简述沉箱滑模施工的工艺流程。 ?3.计算单座沉箱混凝土的工程量。(计算结果保留2位小数,下同)
选项
答案
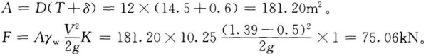
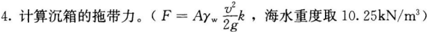
解析 1.海港码头沉箱结构滑模系统主要由模板、围圈、提升架、操作平台、千斤顶、支承杆、油路、操作系统、垂直运输系统、控制系统及观测装置等组成。 2.沉箱滑模施工的工艺流程是:安装提升架→安装内外围圈→绑扎竖向钢筋和提升架横梁下钢筋→安装模板→安装操作平台、栏杆→安装液压提升系统、垂直运输系统以及水、电控制装置及观测装置→液压系统合格后插人支承杆→浇筑混凝土与提升模板→抹面。 3.单座沉箱混凝土的工程量计算如下: 4.海港码头沉箱的拖带力:

相关内容:海港,码头,重力,式沉箱,结构,沉箱,外形,尺寸,如图,2所示,隔墙,隔仓,四周,壁厚

猜你喜欢

发表评论
更多 网友评论0 条评论)
暂无评论

访问排行

Copyright © 2012-2014 恰考网 Inc. 保留所有权利。 Powered by tikuer.com

页面耗时0.0373秒, 内存占用1.04 MB, Cache:redis,访问数据库20次