西南沿海某港口港池疏浚工程,施工工期为1年,无备淤深度。疏浚土质为密实中粗砂和强风化岩,疏浚土吹填到码头后方吹填区,平均吹距为2.7km。吹填区面积为1....

作者: tihaiku 人气: - 评论: 0
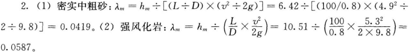
问题 西南沿海某港口港池疏浚工程,施工工期为1年,无备淤深度。疏浚土质为密实中粗砂和强风化岩,疏浚土吹填到码头后方吹填区,平均吹距为2.7km。吹填区面积为1.5km2,底质为密实砂,围埝为临时工程,采用抛石结构,围埝顶宽为3.0m,围埝总长为4.5km,外坡设计坡比为1:2,内坡设计坡比为1:1.5,内侧铺设倒滤层。该工程所在地区平均每年受1~3次台风影响,台风袭击时,风力可达12级以上,常伴有暴雨或大暴雨。 本工程采用大型绞吸挖泥船直接吹填的施工方式,排泥管直径为φ800mm。疏浚施工中,为了掌握陆上排泥管线输送砂和风化岩的沿程阻力系数,在陆地岸管上选择了长100m的平顺段进行了测试,测试期间的测试数据和挖泥船主要施工参数见表2。另外,根据国家工程造价管理部门公布的柴油价格,本工程中标时的柴油价格为5800元/吨,施工期间的柴油偷格为6200元/吨。 【问题】 ?1.分别确定本工程两种疏浚土质适宜的绞刀型式和刀齿型式,并计算测试期间两种疏浚土质的绞刀挖掘系数。(计算结果取两位小数) ?2.计算本工程测试期间测试段两种疏浚土质的沿程阻力系数。(计算结果取四位小数,g=9.8m/s2) ?3.简述挖泥船防台锚地选择应考虑的因素。 ?4.若合同专用条款中对合同价款的调整无另外约定,哪些情形下可调整合同价款?本工程可否因柴油价格的变化调整合同价款? ?5.根据《水运工程质量检验标准》JTS 257—2008,本工程的围埝工程划分为哪些分部工程、分项工程?本工程港池疏浚验收合格的标准是什么?
选项
答案
解析 1.由题可知:(1)密实中粗砂:直径较小的冠形可换齿绞刀和凿形齿。(2)强风化岩:锥形可换齿绞刀和尖齿。 绞刀挖掘系数公式为:W=60K×D×T×V。 W—绞刀挖掘生产率m3/h,D—绞刀前移距m;T—绞刀切泥厚度m;V—绞刀横移速度m/min。则(1)密实中粗砂:K=W÷(60×D×T×υ)=1350÷(60×1.5×1.3×14)=0.82。 (2)强风化岩:K=W÷(60×D×T×υ)=310÷(60×1.2×0.6×10)=0.72。 3.挖泥船防台锚地选择应考虑的因素:(1)满足施工现场船舶、设施的水深要求;(2)在施工作业区或靠近施工作业区的水域;(3)周围无障碍物的环抱式港湾、水道;(4)有消除或减弱浪涌的天然屏障或人工屏障的水域;(5)有足够回旋距离的水域;(6)泥或泥沙混合的底质;(7)流速平缓;(8)便于通信联系和应急抢险救助。 4.若合同专用条款中对合同价款的调整无另外约定,则可调整合同价款的情形:(1)经监理工程师确认,建设单位批准的工程量增减或设计变更;(2)国家或地方工程造价部门公布的价格和费率调整;(3)一周内非施工单位原因造成的停水、停电、停气累计超过8h,使施工单位受到损失时;(4)合同约定的其他增减或调整。若合同专用条款中对合同价款的调整无另外约定,本工程因柴油价格变化可调整合同价款。 5.根据《水运工程质量检验标准》JTS 257—2008,围埝工程可划分为的分部工程是埝身、倒滤层;可划分为的分项工程是抛石、倒滤层。 本工程港池疏浚验收合格的标准:无备淤深度的港池疏浚工程设计底边线以内水域严禁存在浅点;底边线以内水域的开挖范围应满足设计要求;断面不应小于设计开挖断面;坡的开挖范围满足设计要求;坡的开挖坡度满足设计要求。

相关内容:西南,港口,港池,工程,施工,工期,无备,深度,土质,中粗,风化,土吹,码头,吹填区,吹距,面积

猜你喜欢

发表评论
更多 网友评论0 条评论)
暂无评论

访问排行

Copyright © 2012-2014 恰考网 Inc. 保留所有权利。 Powered by tikuer.com

页面耗时0.0307秒, 内存占用1.04 MB, Cache:redis,访问数据库14次